Удалённая работа | Фриланс - работа на дому, удаленная работа, заработок в интернете, фрилансер, freelance, телеработа, аутсорсинг
-   -
 

Войти на сайт

Забыли пароль? | Регистрация

- Проекты     Фрилансеры     Блоги     Статьи     Сервисы     Инфо-центр     Поиск -

Десятка лучших

6x9-PS Оффлайн свободен для работы Прянечников Сергей [6x9-PS]
Фотография

Valentina-dizay Оффлайн свободен для работы Gudimenko Valentina [Valentina-dizay]
Дизайн интерьера

fontan Оффлайн свободен для работы Кизяченко Александр [fontan]
Дизайн сайтов

Hiron_iv Оффлайн частично занят проектами Ivanov Ivan [Hiron_iv]
Полиграфический дизайн

upideas Оффлайн частично занят проектами Ku Natalia [upideas]
Фирменный стиль

nikpavel Оффлайн cильно занят проектами Никитин Павел [nikpavel]
Рисунки и иллюстрации

Koshko Оффлайн частично занят проектами Дизайна Дизайнер [Koshko]
Полиграфический дизайн

miridea Оффлайн свободен для работы Мялицын Станислав [miridea]
Дизайн сайтов

lumier Оффлайн частично занят проектами Жданов Евгений [lumier]
Дизайн интерьера

othersnow Оффлайн частично занят проектами Grae Lex [othersnow]
Дизайн сайтов

 
 
Обратите внимание

... на каталог фрилансеров

 
 
Новости

Чёрные списки
Новости сайта
Новые статьи
Новости сайта
Флеш-послания
Новости сайта

 
 
Сейчас на сайте

Фрилансеры 1
Работодатели 0

 
 
Удалённая работа

14 марта, суббота

Форма заказа фотографий (php+sql+flash)
Сокращенное ТЗ для осознания фронта работ.

Необходимо создать форму заказа фотографий для печати.
Форма состоит из нескольких пунктов, в основном предполагающих выбор заранее заданных параметров (каждый пункт доставляет определенную стоимость), а также возможности загрузки фотографий (архивом и по отдельности) с последующим их отображением в виде «галереи» (flash). Возможность задать отдельные параметры для каждой из фотографий.
Настройки всех пунктов, меню и т.д. осуществляется через админку.
Форма, настройка и отображение заказов должно остаться как и было в Shop-Script Premium.

Более подробное ТЗ после согласования условий работы.
Скрипт необходимо написать на базе Shop-Script Premium (модифицированный)

Оставляйте свои контактные данные и примерную стоимость работ по максимуму.
Опубликован 06.02.2009 в 21:12 по мск
Автор публикации: Иванов Андрей [lcf9]
Прошло времени с момента публикации: более 17 лет
Комментарии к проекту Комментарии к проекту: 1
Раздел Раздел: Удалённая работа
Просмотров Просмотров: 799
Кандидаты Кандидаты: 0
Исполнитель Исполнитель: не определён

Сайт во флеш и хмл
Сайт во флэш (дbзайн и анимация уже готовы). Надо сделать динамическое наполнение:
1. Статический текст (редактирование через тхт или хмл файл)
2. 2 языка
3. Небольшая галлерея с публикациями (картинка + описание, листать (хмл))
4. Проекты (категории, проекты, галлерея и описание)
5. Линки (списком (редактирование через тхт или хмл файл))
Опубликован 06.02.2009 в 19:21 по мск
Автор публикации: По Юлия [yulyasha-employer]
Прошло времени с момента публикации: более 17 лет
Комментарии к проекту Комментарии к проекту: 1
Раздел Раздел: Удалённая работа
Просмотров Просмотров: 803
Кандидаты Кандидаты: 0
Исполнитель Исполнитель: не определён

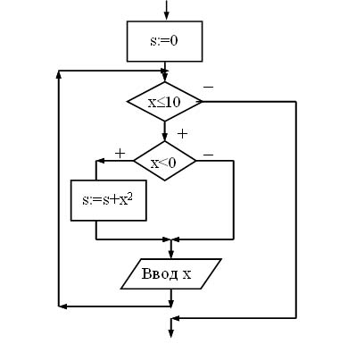
QBasic
Нужно решить пару задачек в QBasic.
1. Нарисовать блок-схему в Word, ввести программу, выполнить отладку программы в системе программирования Турбо Паскаль или QBasic, скопировать текст программы и результаты счета в тот же текстовый документ. Программу записать. Само задание: дан одномерный массив, элементами которого являются вещественные числа. Определить количество отрицательных чисел в массиве.
2. Реализовать блок схему (в прицепе)
Опубликован 06.02.2009 в 16:53 по мск
Автор публикации: Спицына Елена [Elena--S]
Прошло времени с момента публикации: более 17 лет
прикреплённый файл: jpg (jpg, 33,24 Кб)

Оплата   Оплата  
Комментарии к проекту Комментарии к проекту: 4
Раздел Раздел: Удалённая работа
Просмотров Просмотров: 1083
Кандидаты Кандидаты: 0
Исполнитель Исполнитель: не определён

Требуется юрист экономист
Временная работа, образование высшее юридическое и экономическое, знание 1С обязательно. Резюме присылать по адресу roou@roou.ru с пометкой Юрист - экономист.
Опубликован 06.02.2009 в 15:00 по мск
Автор публикации: Пильщикова Ирина [iranton]
Электронная почта: roou@roou.ru
Прошло времени с момента публикации: более 17 лет
Комментарии к проекту Комментарии к проекту: 0
Раздел Раздел: Удалённая работа
Просмотров Просмотров: 711
Кандидаты Кандидаты: 0
Исполнитель Исполнитель: не определён

Предоплата Верстка + накл. на 1С-Битрикс "Старт" Бюджет: 5000 руб.
$76.27 или €68.47
1С-Битрикс Старт у нас уже имеется купленный. Нужно сверстать html из PSD исходников 3-страницы и переложить их на 1С-Битрикс "Старт".
Предлагайте свои цены!
Во вложении ТЗ + образец дизайна.
Так же предлагайте цены просто за верстку.
Опубликован 06.02.2009 в 14:25 по мск
Автор публикации: Ivanov Alexandr [BladeRunner]
Прошло времени с момента публикации: более 17 лет
прикреплённый файл: zip (zip, 165,57 Кб)

Оплата   Оплата  
Комментарии к проекту Комментарии к проекту: 3
Раздел Раздел: Удалённая работа
Просмотров Просмотров: 768
Кандидаты Кандидаты: 0
Исполнитель Исполнитель: не определён

vbull Бюджет: 200 $
13112 руб. или €179.54
3 separate forums (2 existing, 1 new/no data) that I would like to merge the users into one database so someone can post on any of the three sites without having to re-register. I would also like the cookies to work across the three forums so one would stay logged in no matter what site he/she is on. Also, I have an open discussion section that I would like to be shared across all three sites. I would like to assign each forum section a site ID that would determine which url it would show up on.
Опубликован 06.02.2009 в 14:23 по мск
Автор публикации: smirnov evgeny [evgenys75]
Прошло времени с момента публикации: более 17 лет

Оплата   Оплата   Оплата  
Комментарии к проекту Комментарии к проекту: 0
Раздел Раздел: Удалённая работа
Просмотров Просмотров: 549
Кандидаты Кандидаты: 0
Исполнитель Исполнитель: не определён

Предоплата Верстка + наложение дизайна на Joomla Бюджет: 9000 руб.
$137.28 или €123.24
Есть PSD исходники дизайна сайта (5шт). Необходимо сверстать шаблоны страниц для Joomla и раставить все поля модулей в соответствии с дизайном.
Пример дизайна и ТЗ во вложении.
Предлагайте свои сроки и цены!
Опубликован 06.02.2009 в 14:13 по мск
Автор публикации: Ivanov Alexandr [BladeRunner]
Прошло времени с момента публикации: более 17 лет
прикреплённый файл: zip (zip, 503,45 Кб)

Оплата   Оплата  
Комментарии к проекту Комментарии к проекту: 7
Раздел Раздел: Удалённая работа
Просмотров Просмотров: 831
Кандидаты Кандидаты: 0
Исполнитель Исполнитель: не определён

Корректура английского текста
Нужен корректор со знанием английского языка
ОПЫТ РАБОТЫ КОРРЕКТОРОМ и ЗНАНИЕ КОРРЕКТОРСКИХ ЗНАКОВ ОБЯЗАТЕЛЬНО.
работа разовая:
Необходима корректура учебника английского язвка для вузов.
Текст Полностью на английском языке.
Объем: окол 400 стр формата 84х108/32
Оплата договорная сдельная!
Опубликован 06.02.2009 в 14:02 по мск
Автор публикации: Сасина ICQ 168270987 Мария ICQ 168270987 [urait]
Электронная почта: hr@urait.ru
Номер ICQ: 168270987
Телефон: (495)744-00-12, доб.110
Прошло времени с момента публикации: более 17 лет
Комментарии к проекту Комментарии к проекту: 0
Раздел Раздел: Удалённая работа
Просмотров Просмотров: 919
Кандидаты Кандидаты: 0
Исполнитель Исполнитель: не определён

Проект закрыт продвижение сайта Бюджет: 10000 руб.
$152.53 или €136.93
требуется опытный SEO специалист для продвижения сайта по высокочастотным запросам
Опубликован 06.02.2009 в 12:53 по мск
Автор публикации: ilin anton [ulysse]
Прошло времени с момента публикации: более 17 лет

Оплата  
Комментарии к проекту Комментарии к проекту: 3
Раздел Раздел: Удалённая работа
Просмотров Просмотров: 1239
Кандидаты Кандидаты: 0
Исполнитель Исполнитель: не определён

Сборка шариковых ручек Бюджет: 30000 руб.
$457.6 или €410.79
В связи с увеличением количества продукции мы
ищем новых сотрудников для надомной работы по
сборке шариковых ручек…


Наша компания занимается разработкой канцелярских товаров, а если конкретней, то специализируется, в основном, на шариковых ручках. Мы производим детали для ручек, которые рассылаем нашим работникам для дальнейшей сборки.
Опубликован 06.02.2009 в 04:52 по мск
Автор публикации: Викторовна Наталья [kance]
Электронная почта: kance@yandex.ru
Прошло времени с момента публикации: более 17 лет

Оплата   Оплата   Оплата  
Комментарии к проекту Комментарии к проекту: 5
Раздел Раздел: Удалённая работа
Просмотров Просмотров: 1093
Кандидаты Кандидаты: 0
Исполнитель Исполнитель: не определён


Cтраницы: 1 ... 2036 2037 2038 2039 2040 2041 2042 2043 2044 2045 2046 2047 2048 2049 2050 2051 2052 2053 2054 2055 ... 2386
 
-   -
© 2006-2026 Free-lancers.net
Фрилансеры. Удалённая работа.
В ожидании чуда - 26.06.2026 в 14:04
admin@free-lancers.net
     

Rambler's Top100
О проекте | Обратная связь